Certification en japonais JLPT

Accéder aux sections de la fiche

Détails

JLPT décembre 2025

Nantes Université accueille la prochaine session de certification JLPT
le dimanche 07 décembre 2025 .

Niveaux proposés :
Tous les niveaux. JLPT N5, N4, N3, N2 et N1.

Période d'inscriptions :

  • Ouverture des inscriptions
    Vendredi 29 août 2025 à 09h00.
     
  • Dates limites :
    • pré-inscription en ligne jusqu'au jeudi 02 octobre 2025 inclus (selon les places disponibles)
       
    • envoi du dossier dans les meilleurs délais et jusqu'au jeudi 02 octobre 2025, cachet de la poste faisant foi.

      >>> date maximale d'envoi du dossier par courrier prolongée à titre exceptionnel jusqu'au vendredi 03 octobre 2025  <<<
       
    • Pour les demandes d'aménagements : réception du dossier jusqu'au mercredi 10 septembre 2025  à 16h00.
Toutes les modalités dans la rubrique Inscriptions.

Lieu et contact

Nantes Université
Campus Tertre
Chemin de la Censive du Tertre
44 312 Nantes cedex 3

Service Inscriptions :
Service Universitaire des Langues
Bâtiment Tertre - 3ème étage

Passage du test :
Faculté des Langues et Cultures Étrangères

Contact en bas de page.

Test de juillet 2025 : résultats

Les résultats sont accessibles depuis le 25 août 2025 en vous connectant sur https://www.jlpt-overseas.jp/onlineresults, jusqu'au 31 octobre 2025.
Les certificats papier seront envoyés par courrier postal courant octobre 2025.

Présentation

Logo_JLPT Organisé à travers le monde par la Japan Foundation (JF), représenté en France par la Maison de la Culture du Japon à Paris (MCJP), et en coopération avec l'association Japan Educational Exchanges and Services (JEES) qui propose le test sur le territoire national japonais, le Japanese-Language Proficiency Test (JLPT) est un test d'aptitude qui évalue depuis 1984 les compétences linguistiques des apprenants non-natifs de la langue japonaise sur 5 niveaux.

Nantes Université accueille au sein de son Établissement les sessions d'été et d'hiver, ouvertes à tous les publics.

Le JLPT, devenu le test en langue japonaise le plus répandu dans le monde, est reconnu par les institutions publiques et les milieux académiques au Japon. Il est un outil indispensable pour évoluer au sein du monde professionnel en relation avec la langue japonaise.

À partir de décembre 2025, les résultats du test intègreront les indicateurs communs de maitrise de la langue en corrélation avec le Cadre Européen Commun de Référence pour les Langues (CECR, CEFR en anglais). Lien utile pour plus d'informations.

Admission

Prérequis

Public ciblé

Tous les publics, sans limitation d'âge, résidant en France et à l'étranger.
Les plus jeunes, élèves, étudiants, demandeurs d'emploi et salariés, ... ou tout initié et averti souhaitant tester ses connaissances, peuvent s'inscrire au test qui évalue les compétences linguistiques en langue japonaise.

Programme

  • Programme de l'examen :
Constitué de 5 niveaux de difficulté et présenté sous la forme de QCM (Questions à Choix Multiples) dans un temps limité, le JLPT sollicite les connaissances de la langue japonaise selon les exigences requises pour chacun des niveaux.

L'examen propose des thématiques faisant référence à des situations réelles pour évaluer la capacité du candidat à comprendre la langue et à déterminer ses connaissances linguistiques dans différents contextes de communication.
Les compétences linguistiques testées sont définies ci-dessous :
 - les connaissances linguistiques en vocabulaire
 - les connaissances linguistiques en grammaire
 - la compréhension de l'écrit
 - la compréhension de l'oral

 
  • Contenu et déroulement de l'examen, répartition des scores :
Tableau_déroulement_scores

Des pauses ont lieu entre chaque section de test.
Les sections correspondant au déroulement du test ne sont pas identiques aux sections utilisées pour les scores.


Ci-dessous une idée des éléments composant le test pour chaque niveau (en anglais) :

N1   N2 N3   N4   N5
Composition of test items N1   Composition of test items N2 Composition of test items N3   Composition of test items N4   Composition of test items N5

  • Résumé des compétences linguistiques attendues pour chaque niveau
Compétences_linguistiques
 
  • Informations concernant la session du 07 décembre 2025
Horaire de convocation : À partir de 11h30 (horaire susceptible d'évoluer légèrement)
Horaire de début des épreuves : 12h30
La durée du test d'aptitude est variable selon le niveau. La fin des épreuves est initialement programmée à :
  - N1 : 15h45
  - N2 : 15h30
  - N3 : 15h50
  - N4 : 15h25
  - N5 : 15h00
Les horaires de fin d'épreuves sont donnés à titre indicatif et peuvent être décalés pour des raisons indépendantes de notre volonté. Merci de prévoir suffisamment de temps pour programmer votre déplacement. Aucun dédommagement ne pourra être accordé à cet effet.

Disponibilité des résultats et des certificats :
  - résultats en ligne : accessibles fin janvier 2026,
  - certificats de scores : transmis par courrier postal courant mars 2026.

Pour information importante, dans le cadre du renforcement des mesures contre la fraude, l'usage des téléphones portables, smartphones et de tout objet connecté ne sont pas autorisés sur le lieu d'examen, y compris durant les temps de pause. Leur utilisation entrainera une annulation du test du candidat.
Vous pouvez consulter ces nouvelles modalités sur le site officiel du JLPT : Announcement For Overseas Examinees

 
  • Outils et préparation
◉  Pour vous assister dans votre choix de niveau, nous vous proposons de prendre connaissance ci-dessous des exemples mis à disposition par la Japan Foundation pour tester quelques connaissances.
N1 étant le niveau à la difficulté la plus élevée et N5 la difficulté la plus basse.

N1   N2   N3   N4   N5
Mini_Test_N1   Mini_JLPT_N2   Mini_Test_N3   Mini_Test_N4   Mini_Test_N5

◉  Le site officiel du JLPT propose également de vous entrainer à quelques situations situations à l'oral et à l'écrit, réparties par niveau : Exemples de questions

◉  De nombreuses ressources en accès libre sont proposées depuis notre page dédiée pour s'immerger dans la culture japonaise, perfectionner certaines notions ou simplement revoir quelques méthodes pour s'entrainer avant le test : Ressources e-learning japonais

◉  D'autres ressources produites par la Fondation du Japon et la NHK sont présentées aux apprenants via le site de l'Ambassade du Japon en France.

 
  •  Compréhension des scores et certificats de résultats :
Grille_de_correspondance_CECR Le score global est de 180 points pour tous les niveaux de N5 à N1. Les compétences sont regroupées par section cohérente et les scores de chaque section sont variables de 0 à 60 ou de 0 à 120.
Pour obtenir la certification JLPT, il est nécessaire d'atteindre le seuil de réussite déterminé pour chaque section et le seuil de réussite requis pour l'ensemble de l'examen. Les seuils sont variables selon les niveaux. Ils sont indiqués dans le tableau correspondant ci-dessus ainsi que dans les guides officiels.

À partir de décembre 2025, les scores seront présentés en corrélation avec le Cadre Européen Commun de Référence pour les Langues (CECR, CEFR en anglais) de A1 à C1. Une grille de correspondance montrent les indicateurs conformisés selon les niveaux testés et les scores obtenus, faisant un lien avec les résultats acquis aux sessions antérieures.

Les résultats sont disponibles en premier lieu en ligne sur le site internet du JLPT à l'adresse suivante : https://www.jlpt.jp/e/ , dans un délai d'environ un mois et demi après le passage du test, à l'aide du numéro d'enregistrement et du mot de passe définis sur le formulaire d'inscription C conservé par le candidat.

Tous les candidats reçoivent un certificat de scores qui indique le score obtenu à chaque section, le score global et des informations de référence concernant les connaissances linguistiques.
Les candidats qui réussissent le niveau reçoivent également un certificat de compétences en langue japonaise.
Les certificats sont remis par l'intermédiaire du Service Universitaire des Langues dans un délai d'environ trois mois suivant le passage de l'examen.

Inscriptions

Coût de la formation

Tarifs d'inscription au test :
JLPT Niveau 1 : 90 €
JLPT Niveau 2 : 90 €
JLPT Niveau 3 : 90 €
JLPT Niveau 4 : 80 €
JLPT Niveau 5 : 80 €

Inscription possible pour un niveau au choix.
 

Modalités d'inscription

  1. Dossier d'inscription

    Veuillez télécharger le formulaire d'inscription ci-dessous (en plusieurs pages, accessible durant la période d'inscription). Veillez à bien renseigner tous les champs de l'ensemble du dossier d'inscription et à vérifier leur contenu exact.
    Vous trouverez également ci-dessous le guide ainsi qu'une notice d'information rédigée en français pour vous saisir des informations essentielles et vous accompagner dans la démarche de réalisation du dossier :

    PDF modifiable      Information      Guide_2025B_en_jp_Titre
    Formulaire_inscription_25B      Information_inscription      Guide_2025B_en_jp

    IMPORTANT : la saisie se fait impérativement en lettres majuscules anglaises (hors adresse mail), sans accent ni Kanji.

    À NOTER : Prêtez attention à la bonne saisie de vos informations personnelles. Nom, prénom, genre, date de naissance, etc… seront indiqués tels qu’ils ont été saisis sur les formulaires pour l’édition des certificats de scores et de compétences. Veuillez prendre soin d’indiquer vos adresses postales exactes et complètes.
     
  2. Enregistrement et règlement des frais d'inscription

    L'enregistrement sur la plateforme est impératif pour votre pré-inscription et garantir la disponibilité de votre place :
    https://certif.univ-nantes.fr/login.jsf
    Vous pourrez sélectionner le statut correspondant et la certification JLPT dans la liste déroulante puis saisir vos informations personnelles.
    Si le nombre de places maximum est atteint pour un niveau, l'enregistrement en ligne pour ce niveau n'est plus proposé.

    Le règlement des frais d'inscription peut être effectué selon les modalités suivantes :
      -  en ligne, suite à l'enregistrement sur la plateforme : https://certif.univ-nantes.fr/login.jsf : vous recevrez un mail de confirmation le jour de la démarche (merci de nous informer de la non-réception de confirmation au plus tard le lendemain du réglement),
      -  par chèque, à l'ordre de Régie Recettes SUL, que vous pouvez nous transmettre par voie postale dans l'enveloppe contenant votre dossier d'inscription complet.
     
  3. Composition du dossier

    - Les formulaires du candidat : les 5 pages du dossier imprimée sur feuilles blanches A4 en recto uniquement et non agrafées,
    - Les formulaires de demande d’aménagement pour les candidats en situation de handicap le cas échéant (cf. partie 5. ci-dessous),

    - 2 photos d’identité (non agrafées et non collées),
    - Justificatif du reçu du paiement en ligne, ou le cas échéant l'envoi d'un chèque si le paiement n'a pas été réalisé en ligne (paiement en espèces uniquement sur place),
    - Une enveloppe (supplémentaire à celle utilisée à l’envoi de votre dossier) timbrée à 2,58 € minimum, de format C4, environ 32x23 cm, libellée à votre adresse postale complète, qui sera dédiée à l’envoi de votre attestation de résultats.
    À votre discrétion, il est possible d remplacer l’enveloppe timbrée par une enveloppe suivie
    Pour l’international, merci de prévoir de joindre un pré-affranchissement correspondant à votre pays de résidence/réception pour un envoi depuis la France.

     
  4. Envoi du dossier

    L'inscription définitive sera validée après réalisation complète de la procédure ci-dessus et ce, dans les délais indiqués.
    Les dossiers doivent être envoyés par courrier postal suivant la réalisation de la pré-inscription en ligne et jusqu'au jeudi 02 octobre 2025, cachet de la poste faisant foi (date maximale d'envoi du courrier), ou déposés directement au Service Universitaire des Langues au plus tard le lundi 06 octobre 2025 à 12h00.

    Certification JLPT
    Service Universitaire des Langues
    Nantes Université - Campus Tertre
    Chemin de la Censive du Tertre - Bâtiment Tertre, 3ème étage
    44 312 Nantes, France


    Tout dossier incomplet ou arrivé après cette date sera rejeté et annule de fait votre inscription au test.
    Aucun remboursement ne peut être demandé après le réglement des frais ou en cas de réception tardive du dossier.


    Il est possible de se présenter au bureau pour déposer le dossier en réglant les frais d'inscription sur place (par espèce ou carte bancaire).
    Nous vous accueillons au bureau 304, ou à l'accueil du Centre de Ressources en Langues (CRL), au 3ème étage, les lundis, mardis et jeudis de 09h00 à 12h00 et de 14h00 à 16h30 durant toute la période des inscriptions.
     
  5. Demande d'aménagement spécifique

    La date limite de réception des dossiers contenant une demande d'aménagement spécifique est définie au 10 septembre 2025 à 12h00.

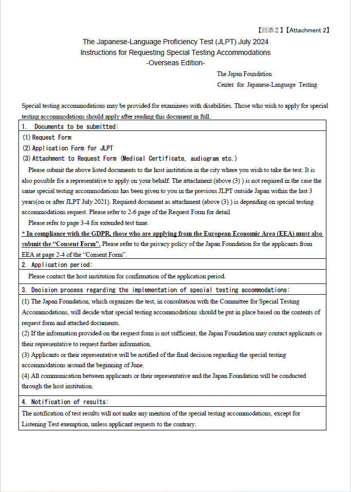
    Veuillez prendre connaissance de la fiche Request for Special Testing Accommodations (Request For STA).
    Vous pourrez ensuite télécharger, dûment compléter, dater et signer les deux formulaires Request Form (formulaire de demande d'aménagement) et Consent Form for EEA applicants (formulaire de consentement) accessibles en cliquant sur les images suivantes :

    Request_Form      Consent_Form      Request_For_STA_25A
    Request_For_STA_25A      Consent_Form      Instructions

      -  Le numéro de candidat (noté Examinee Registration Number sur le formulaire Request Form) est déterminé par notre service et vous sera remis ultérieurement.
      -  Vous devrez obligatoirement joindre un certificat médical traduit en anglais justifiant votre demande et exprimant clairement vos besoins.
      -  Merci de bien vouloir joindre ces documents au reste du dossier que vous devrez nous envoyer par courrier ou déposer au bureau. La réception du dossier doit se faire au plus tard le mercredi 10 septembre 2025 à 12h00.
     
  6. Convocation

    À la suite de la période d’inscriptions, le Service Universitaire des Langues transmettra à tous les candidats :
        - Le formulaire C à conserver indiquant le numéro d’inscription et le mot de passe propres à chaque candidat,
        - Le bon (voucher) qui devra être présenté par le candidat à l’entrée de la salle le jour du test et contenant la photo d’identité,
        - La convocation officielle et des informations d'accès au centre d'examen.

Contacts

Nous contacter par tél : +33 (0)2 53 48 77 05

Renseignement
Nous vous accueillons également au bureau 304, ou à l'accueil du Centre de Ressources en Langues (3ème étage) pour tous les renseignements concernant le JLPT (aide à l'inscription, paiement, dépôt des dossiers, ...) les lundis, mardis et vendredis de 09h00 à 12h00 et de 14h00 à 16h00 durant toute la période des inscriptions.

Pour que nous puissions vous recontacter

Ce champ est facultatif. Si vous ne le remplissez pas, la question donnée en exemple ci-dessus sera envoyée.

saisir le code présent dans l'image

Envoi du message…

Votre message a été envoyé.

Une erreur est survenue pendant l'envoi de la question. Essayez de nous contacter par téléphone.

Mis à jour le 30 octobre 2025.